Chương 6: Tỉ lệ thức và đại lượng tỉ lệ
Chương 7: Biểu thức đại số và đa thức một biến
Chương 8: Làm quen với biến cố và xác suất của biến cố
Chương 9: Quan hệ giữa các yếu tố trong một tam giác
Chương 10: Một số hình khối trong thực tiễn

Giải Toán 7 tập 2 bài 26: Phép cộng và phép trừ đa thức một biến

Giải Toán 7 tập 2 bài 26: Phép cộng và phép trừ đa thức một biến

Giải toán 7 tập 2 bài 26 sách Kết nối tri thức có đáp án chi tiết cho từng bài tập trong sách giáo khoa Toán lớp 7 Kết nối tri thức mới. Mời các em học sinh cùng quý phụ huynh tham khảo.

Giải Toán 7 tập 2 bài 26 trang 32

Câu hỏi trang 32 Toán 7 tập 2

Tìm tổng của hai đa thức: x3 – 5x + 2 và x3 – x2 + 6x – 4.

Hướng dẫn giải:

Tổng của hai đa thức x3 – 5x + 2 và x3 – x2 + 6x – 4 là:

x3 – 5x + 2 + x3 – x2 + 6x – 4

= (x3 + x3) – x2 + ( – 5x + 6x) + (2 – 4)

= 2x3 – x2 + x + ( – 2)

= 2x3 – x2 + x – 2.

Hoạt động 1 trang 32 Toán 7 tập 2

Cho hai đa thức P = x4 + 3x3 – 5x2 + 7x và Q = – x3 + 4x2 – 2x + 1

Đối với phép trừ: P – Q = (x4 + 3x3 – 5x2 + 7x) – ( – x3 + 4x2 – 2x + 1), ta cũng có hai cách trình bày, tương tự như phép cộng hai đa thức.

Tìm hiệu P – Q bằng cách bỏ dấu ngoặc rồi nhóm các hạng tử cùng bậc và thu gọn.

Hướng dẫn giải:

P – Q = (x4 + 3x3 – 5x2 + 7x) – ( – x3 + 4x2 – 2x + 1)

P – Q = x4 + 3x3 – 5x2 + 7x + x3 – 4x2 + 2x – 1

P – Q = x4 + (3x3 + x3) + ( – 5x2 – 4x2) + (7x + 2x) – 1

P – Q = x4 + 4x3 + ( – 9x2) + 9x – 1

P – Q = x4 + 4x3 – 9x2 + 9x – 1

Vậy P – Q = x4 + 4x3 – 9x2 + 9x – 1.

Giải Toán 7 tập 2 bài 26 trang 33

Vận dụng 2 trang 33 Toán 7 tập 2

Cho đa thức A = x4 – 3x2 – 2x + 1. Tìm các đa thức B và C sao cho:

A + B = 2x5 + 5x3 – 2;

A – C = x3.

Hướng dẫn giải:

Do A + B = 2x5 + 5x3 – 2 nên B = 2x5 + 5x3 – 2 – A

B = 2x5 + 5x3 – 2 – (x4 – 3x2 – 2x + 1)

B = 2x5 + 5x3 – 2 – x4 + 3x2 + 2x – 1

B = 2x5 – x4 + 5x3 + 3x2 + 2x + (-2 – 1)

B = 2x5 – x4 + 5x3 + 3x2 + 2x + (-3)

B = 2x5 – x4 + 5x3 + 3x2 + 2x -3

Do A – C = x3 nên C = A – x3

C = x4 – 3x2 – 2x + 1 – x3

C = x4 – x3 – 3x2 – 2x + 1

Vậy B = 2x5 – x4 + 5x3 + 3x2 + 2x -3; C = x4 – x3 – 3x2 – 2x + 1.

Bài 7.12 trang 33 Toán 7 tập 2

Tìm tổng của hai đa thức sau bằng cách nhóm các hạng tử cùng bậc:

x2 – 3x + 2 và 4x3 – x2 + x – 1

Hướng dẫn giải

Ta có: (x2 – 3x + 2) + (4x3 – x2 + x – 1)

= x2 – 3x + 2 + 4x3 – x2 + x – 1

= 4x3 + (x2 – x2 ) + (-3x + x) + (2 – 1)

= 4x3 – 2x + 1

Bài 7.13 trang 33 Toán 7 tập 2

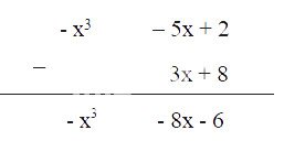
Tìm hiệu sau theo cách đặt tính trừ: (- x 3 – 5x + 2) – (3x + 8)

Hướng dẫn giải

Giải Toán 7 tập 2 bài 26

Bài 7.14 trang 33 Toán 7 tập 2

Cho hai đa thức:

A = $6{x^4} – 4{x^3} + x – \dfrac{1}{3};B = – 3{x^4} – 2{x^3} – 5{x^2} + x + \dfrac{2}{3}$

Tính A + B và A – B

Hướng dẫn giải

A + B = $6x^4 – 4x^3 + x – \frac{1}{3} + (-3x^4 – 2x^3 – 5x^2 + x + \frac{2}{3})$

= $6x^4 – 4x^3 + x – \frac{1}{3} – 3x^4 – 2x^3 – 5x^2 + x + \frac{2}{3}$

=$ (6x^4 – 3x^4) + (-4x^3 – 2x^3) – 5x^2 + (x + x) + (- \frac{1}{3} + \frac{2}{3})$

= $3x^4 – 6x^3 – 5x^2 + 2x + \frac{1}{3}$

A – B = $6x^4 – 4x^3 + x – \frac{1}{3} – (-3x^4 – 2x^3 – 5x^2 + x + \frac{2}{3})

= 6x^4 – 4x^3 + x – \frac{1}{3} + 3x^4 + 2x^3 + 5x^2 – x – \frac{2}{3}

= (6x^4 + 3x^4) + (-4x^3 + 2x^3) + 5x^2 + (x – x) + (- \frac{1}{3} – \frac{2}{3})$

= $9x^4 – 2x^3 + 5x^2 – 1$

Bài 7.15 trang 33 Toán 7 tập 2

Cho hai đa thức:

A = $3x^4 – 2x^3$ – x + 1

B = $-2x^3 + 4x^2$ + 5x

C = $-3x^4 + 2x^2$ + 5

Tính A + B + C; A – B + C và A – B – C

Hướng dẫn giải

A + B + C

= $3x^4 – 2x^3 – x + 1 + (-2x^3 + 4x^2 + 5x) + (-3x^4 + 2x^2 + 5)$

= $3x^4 – 2x^3 – x + 1 – 2x^3 + 4x^2 + 5x – 3x^4 + 2x^2 + 5$

= $(3x^4 – 3x^4) + (-2x^3 – 2x^3) + (4x^2 + 2x^2) + (-x + 5x) + (1 + 5)$

= $– 4x^3 + 6x^2 + 4x + 6$

A – B

= $3x^4 – 2x^3 – x + 1 – (-2x^3 + 4x^2 + 5x)$

= $3x^4 – 2x^3 – x + 1 + 2x^3 – 4x^2 – 5x$

= $3x^4 + (-2x^3 + 2x^3) – 4x^2 + (-x – 5x) + 1$

= $3x^4 – 4x^2 – 6x + 1$

A – B – C

= $3x^4 – 4x^2 – 6x + 1 – (-3x^4 + 2x^2 + 5)$

= $3x^4 – 4x^2 – 6x + 1 + 3x^4 – 2x^2 – 5$

= $(3x^4 + 3x^4) + (-4x^2 – 2x^2) – 6x + (1 – 5)$

= $6x^4 – 6x^2 – 6x – 4$

Bài 7.16 trang 33 Toán 7 tập 2

Bạn Nam được phân công mua một số sách làm quà tặng trong buổi tổng kết cuối năm học của lớp. Nam dự định mua ba loại sách với giá bán như bảng sau. Giả sử Nam cần mua x cuốn sách khoa học, x + 8 cuốn sách tham khảo và x + 5 cuốn truyện tranh.

Loại sáchGiá bán một cuốn (đồng)
Truyện tranh15 000
Sách tham khảo12 500
Sách khóa học21 500

a) Viết các đa thức biểu thị số tiền Nam phải trả cho từng loại sách.

b) Tìm đa thức biểu thị tổng số tiền Nam phải trả để mua số sách đó.

Hướng dẫn giải

a) Đa thức biểu thị số tiền Nam phải trả cho truyện tranh là: A = (x +5). 15 000 = 15 000x + 75 000 (đồng)

Đa thức biểu thị số tiền Nam phải trả cho sách tham khảo là: B = (x + 8) . 12 500 = 12 500x + 100 000 (đồng)

Đa thức biểu thị số tiền Nam phải trả cho sách khoa học là: C = x . 21 500 (đồng)

b) Đa thức biểu thị tổng số tiền Nam phải trả để mua số sách đó là:

P = A + B + C = = 15 000x + 75 000 + 12 500x + 100 000 + x . 21 500

= (15 000 + 12 500 + 21 500)x + (75 000 + 100 000)

= 49 000x + 175 000 (đồng)

Bài 7.17 trang 33 Toán 7 tập 2

Trên một mảnh đất hình chữ nhật có chiều dài 65 m, người ta định làm một bể bơi có chiều rộng là x nét, chiều dài gấp 3 lần chiều rộng. Sơ đồ và kích thước cụ thể (tính bằng mét) đươc cho trong Hình 7.1. Tìm đa thức ( biến x):

a) Biểu thị diện tích bể bơi

b) Biểu thị diện tích mảnh đất

c) Biểu thị diện tích phần đất xung quanh bể bơi.

Hình 7.1

Hướng dẫn giải

a) Bể bơi có chiều dài là 3x, chiều rộng là x nên đa thức biểu thị diện tích bể bơi là:

B = 3x. x = 3.x2

b) Mảnh đất có chiều dài là 65, chiều rộng là 5 + x + 4 = x + 9 nên đa thức biểu thị diện tích mảnh đất là:

D = 65. (x+9) = 65x + 585

c) Diện tích xung quanh bể bơi = diện tích mảnh đất – diện tích bể bơi nên đa thức biểu thị diện tích phần đất xung quanh bể bơi là:

Q = D – B = 65x + 585 – 3.x2 = -3.x2 +65x + 585

 

Bài học